DEEP METRIC LEARNING USING TRIPLET NETWORK
论文来源:ICLR 2015
论文链接:https://arxiv.org/pdf/1412.6622.pdf
代码链接:https://github.com/eladhoffer/TripletNet
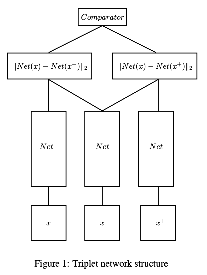
网络结构

网络每次输入三个样本$x,x^+,x^-$其中$x$为主样本,$x^+$为正样本,其类型和$x$相同,$x^-$为负样本,其类型和$x$不同。
网络的目标就是训练网络Net,使得经过网络后相同类的embedding尽可能相同,不同类的embedding尽可能不同。
损失函数
样本生成策略
在该论文中作者是采用随机选取的策略生成640000个三元组$(x,x^+,x^-)$